
Formula for approximating flow in canyons. (Read directions, use with caution!)
You’ve finally arrived at the canyon, you’re ready to put the wetsuit on. Is it the flow you thought it would be? If you immediately answered “Sure!” then I need you to slow down for a second! With a few simple measurements, we can actually come up with a subjective measure of the flow, which will give you your best possible idea of whether or not you’re about to make a huge mistake! It’s quick, simple, and you can do the math in your head. Here’s what you to do:
1: Forget what flow you expected the canyon to be at. The season numbers are a guessing tool. My gauge models are far from perfect. Even a gauge for that specific spot may have changed since you last looked at it. You are now in person, at the canyon, and are in your best position to say what the flow is, and if it is safe.
2: Find the most consistently shaped, evenly flowing, no-rocks-poking-out-of-the water stretch you can.
3: Measure the length (l) of this run in feet. You should be able to do this with your rope, and your arm lengths, like you do for drops.
4: Drop sticks at the top, in the center of the flow and time them on their way downstream. Do it 3 times, get a rough average for time (t). A stopwatch is nice, but counting (one thousand one, one thousand two…) is acceptable. If your stick gets stuck, don’t count that time, and try again.
5: Calculate surface water velocity (v). v = l / t
6: Measure the width of this run. Same way you measured the length.
7: Measure the depth (d) of deepest part of the cross-section your stretch. If depth changes over the length, measure a few times, and get an average. It can be useful to take a measuring tape sometime and find out how high your knee is, to help. Or stick a rope in, pull it out, and estimate that way.
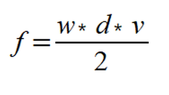
8: Calculate the estimated flow (f) in cfs (it’s simple!): f = (w * d * v) / 2
9: Consider reasons why this flow is or is not accurate (see below).
It’s going to be helpful for you to know why this works. Here’s a simple explanation:
Imagine a cross sectional area of the creek. This area should equal width multiplied by average depth (D).
So actual flow (F) will be equal to that cross sectional area, times the average water velocity (v).
F = (w * D) * v
Let’s assume that the cross sectional area is somewhat bowl shaped (it often is). A trapezoid where the third of either side slopes up evenly toward the surface.

For that trapezoid the average depth (d) is two thirds of the maximum depth (D).
D = .667 * d
We have surface velocity (we’ll call it V), not average velocity, v. Fortunately there is a correction factor that real science people use for that. For a cobbly bottom stream the correction is .8
v = .8 * V
Now all we have to do is put that together.
F = (w * .667 * d) * .8 * v
More simply…
F= .533 * w * d * v
Which is pretty damn close to
F = (w * d * v) / 2
Easy to remember, and you can do it in your head.
But let’s not forget step 9. Why might our estimate be inaccurate.
Well first, maybe our stream’s cross-section isn’t that nice bowl shape. What if the stream banks are vertical, an even depth straight across?

The cross-sectional area of this box is 50% bigger than our bowl! So, multiply your estimate by 1.5.
What if only one side is a steep bank?

This cross-sectional area is 25% bigger. So multiply by 1.25
What if it makes a V straight to the bottom?

This is 75% the size of our bowl, so multiply by .75. I image you get the point.
What else could be wrong? Well remember how I said the correction factor for surface velocity to average velocity was for a cobbly streambed? What if it’s smooth bedrock? That correction factor is 0.9. So, add another 10% (technically 12.5%, but we won’t be that accurate anyway) to your flow.
What if you didn’t find a particularly great run to measure in? The stream is filled with boulders, big eddies, weird hydraulics that keep catching your stick? Well, try measuring in a few different places, see what you come up with. Keep in mind that your measurement is less accurate. That’s about all you can do.
Also keep in mind that you need to do this at the right spot. If there are a tributaries into your canyon, you’re better off measuring at the bottom of the canyon. If you can’t do that, you’ll have to keep in mind that the flow will increase once those tributaries hit.
You absolutely must keep in mind that this is an estimate. Even if you find a good section of stream, and make accurate measurements, you’re still likely to be 25% off in either direction. So say you come up with 8 cfs, if you’re feeling confident, tell yourself 6-10cfs.
If you’re inexperienced, or didn’t find a great spot to measure, maybe you’re 50% off, and the flow is 4-12cfs. In that case, if 12cfs is higher than you would want to do the canyon, take some more time to consider. And I don’t mean to keep measuring until you get a flow that tells you what you want! You might think this sounds silly, but I promise it’s very tempting, and easy to do.